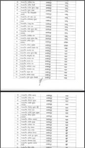
रांची: झारखंड में विधानसभा चुनाव खत्म होने के बाद राज्य के साक्षर आरक्षी और हवलदार को प्रमोशन दिया गया है। 456 साक्षर आरक्षी और हवलदार को अवर निरीक्षक में पदोन्नति दी गई है। झारखंड पुलिस मुख्यालय ने इसको लेकर पत्र जारी कर दिया है।
पटना के DM चंद्रशेखर सिंह ने परीक्षार्थी को मारा थप्पड़, BPSC PT परीक्षा में पेपर लीक का आरोप को लेकर हो रहा था हंगामा
देखिये पूरी लिस्ट













